CS61b:Week 6
并查集(Disjoint Set)
并查集接口(方法)
-
connect(x,y):将x,y元素连接起来。(连接具有传递性) -
isConnected(x,y):判断x,y元素是否连接。 -
简化实现方法:
- 将所有元素都用整数作为映射进行储存。
- 声明时同时将元素个数确定,且创建时每个元素两两不相连。
集合列表并查集(List of Sets DS)
- 实现结构如
[{1,2,4,0},{3,5},{6}]存储的并查集 - 缺点:线性复杂度,数据大时运行速度慢(需要迭代列表),代码复杂
快速查找并查集(Quick Find)
- 存储形式:
- 单个整数列表
int[] - 用列表的索引值映射元素内容,当元素是相互连接时,其索引值对应的列表中的元素(编号)也相同。
- 单个整数列表
- 复杂度:
isConnected:常数时间复杂度(只需找列表中对应索引的元素是否相同)Connect:线性时间复杂度(迭代修改对应元素的编号)

快速链接并查集(Quick Union DS)
- 存储形式
int[]- 不同的是,列表不存储元素的编号,而是存储其的父级元素(类比树)
- 其中,根元素存储-1表示其没有父级元素
- 实现改进的
Connect方法- 将一个子集链接到另一个子集时,将两个子集的根元素相连接即可。(将其中一个子集的根元素设置为另一个子集根元素的子元素)
- 实现
isConnected方法- 检查两个元素的所在子集(树)的根元素是否相同。
- 复杂度:
- 由树长度决定,由于
connect需要爬树找到根元素,树越长,所需的时间成本越大。
- 由树长度决定,由于


加权快速并查集(Weighted Quick Union DS)
- 加权快速连接法则
- 当两棵树连接在一起时,始终选择较小的树放在较大的树的下面。
- 比较树的大小而不是树的高度的原因:
- 实际上以树的大小为权重实现的也是对数阶复杂度的方法,而代码编写难度更高一些,出于简化的原因,使用树的大小(元素个数)作为权重是完全可行的(不改变渐进复杂度)
- 跟踪每棵树的大小的实现
- 将列表中根元素对应的父级元素改为
-size即可(size表示该树的大小)
- 将列表中根元素对应的父级元素改为
- 复杂度:
connect:isConnected:

Better Implement:WQU DS with Path Compression
- 路径压缩方法(Path Compression)
- 在爬树的时候,将沿着路径上的元素都直接连接到该路径的根元素上(将路径元素的父节点直接设置为根节点),以实现树的高度的压缩。
- 特性:随着调用方法次数的增多,下一次调用方法的时间成本会减小。
- 复杂度(平均):,其中为反阿克曼函数


算法分析
易错分析
- 求下面函数的渐进时间复杂度
1 | public static void printParty(int N){ |
- 实际上,,而是,只是该函数时间复杂度的上界,因为第二重循环内部的运行次数并不为,而是,而一般都是,故只是该函数复杂度的上界
- 事实上,,因为。
常见的复杂度计算
- 近似计算复杂度
平均时间复杂度
-
若输入的数据规模为,而总的运行时间为,则平均下来,输入一个数据的平均运行时间为
-
例子1:下面两个函数平均时间复杂度的比较
1 | //func1 |
-
每个函数都执行N次后,func1的时间复杂度为,而func2为,所以对于每次操作的平均复杂度分别为和,而最坏情况仍是,故后者的性能更好一些。
-
例子2:计算下面函数的渐进时间复杂度
1 | public static int f(int n){ |
- 试着画个图吧,你会得到答案如此的复杂度。()
二分查找(Binary Search)
- 基本思路
- 对于一个已排序的数组,每次将数组从中间分为两部分,被查找的元素一定落在两部分之一(或小于中间值,或大于中间值),故每次查找的范围是前一次的二分之一,可以实现对数阶的时间复杂度。
- 递归实现
1 | public static int binarySearch(String[] sorted,String x,int lo,int,hi){ |
- 时间复杂度
归并排序(Merge sort)
- 基本思路:
- 将长度为的数组分成两个长度为的数组,在子数组中进行归并排序后,再将两个子数组按序合并起来。(分治思想的体现)
- 合并:
- 对于两个已排序子数组,用两个不同的指针分别迭代两个数组,将两个指针指向的元素进行比较,较小者添加至新数组的末端,且指向较小者的指针向后推移一个元素,再重复此过程。
- 复杂度分析:
- 时间复杂度
- 分割复杂度:
- 合并复杂度:合并需要遍历所以一次合并的复杂度是,所以从上往下每一层的时间复杂度相加可以得到总的时间复杂度(共有层):
Set&Map的特点
- 集合(set):集合是一组项目,其中的元素没有顺序且没有重复的元素。
- 映射(map):映射也可以叫词典,存储的是键值对,实现将键映射到值的结构。
二叉查找树(Binary Search Tree)
树的结构
- 一棵树由若干个节点和连接节点的边组成。
- 任意两个节点之间只能有一种连接方式(一条边),从底部到顶部只有一种方式,而不能有多种。
- 根节点(随便一个节点都可以是根节点,没有特殊要求),可以看作是一棵树的开始。因此树是可递归的数据结构
- 父节点:
- 一个节点的父节点是从该节点到根节点的路径上的第一个的节点(除了本身节点),也可以看作是一个节点的前驱。
- 每个节点(除了根节点),都只有一个父节点。
- 子节点:
- 一个节点的子节点是所有以该节点作为父节点的节点。可以看作是节点的后继。
- 一个节点可以有多个子节点。
- 叶节点:没有子节点的节点,是树的末端节点。
二叉树(Binary Tree)
- 特点:每个节点都只能有不超过2个的子节点。
- 节点深度:该节点到根节点的距离(根节点为0)
- 树高:节点深度的最大值即为树高(树高决定了最坏运行时间)
二叉搜索树(Binary Search Tree)
- 建立在二叉树的基础上,且满足BST规则:
- 每个节点的左子节点的值小于该节点的值。
- 每个节点的右子节点的值大于该节点的值。
- 且满足以下逻辑:
- ,一定有成立
- ,若$x<y \space \wedge \space y<z $ 成立,一定有 成立
- 所以不难看出,BST中没有两个相同的元素。
- BST查找
- 基本思路:
- 对于一个要查找的值key,从根开始遍历,若根的元素与其相等则直接返回,若key小于根元素,则查找左子树,否则查找右子树。(递归思想)
- 伪代码:
1 | static BST find(BST T,Key sk){ |
- BST插入
- 先查找树中是否已经存在,若已存在,则无需添加,若未存在,则在适当的位置创建新节点(小于一个节点的值,则进入左子树插入,反之右子树,直到遍历到叶节点时插入)
- 伪代码:
1 | static BST insert(BST T ,Key ik) { |
- BST删除
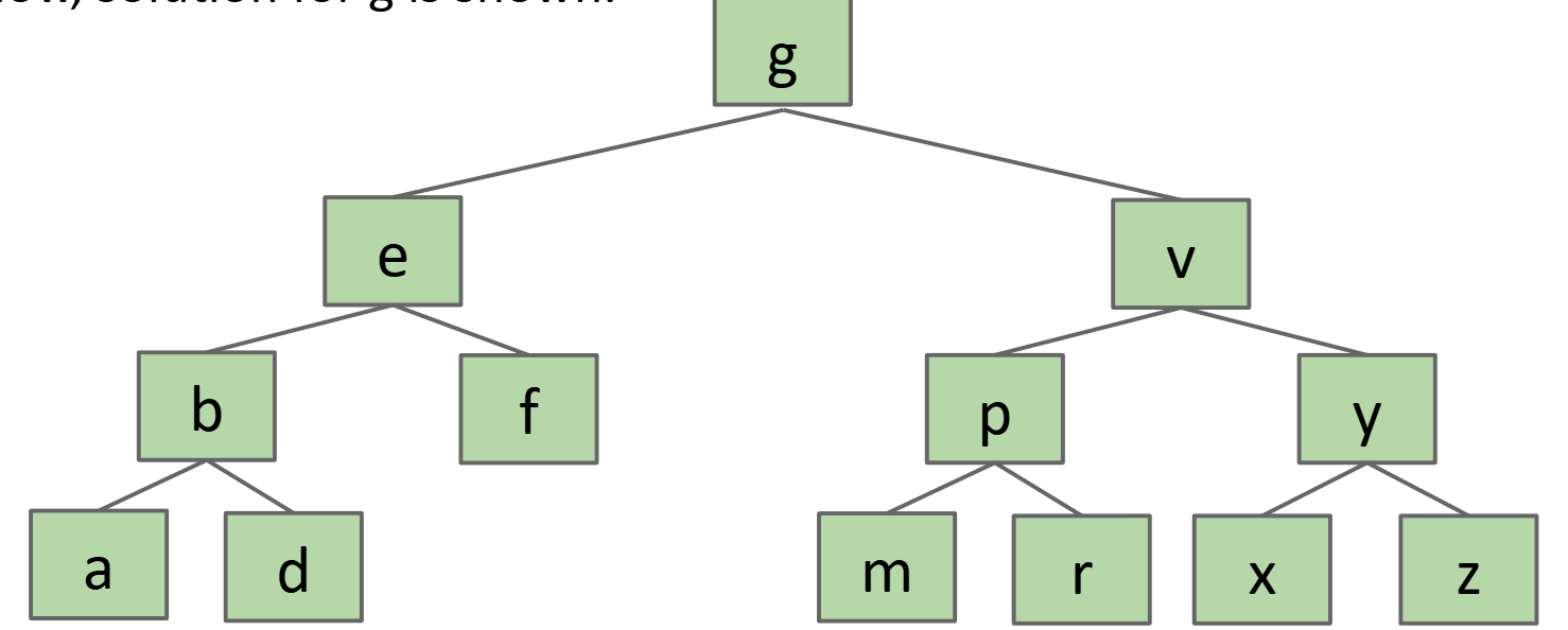
- 删除叶节点:
- 直接设置成null即可
- 删除有一个子节点的节点:
- 更改父节点的指针,使其指向该节点的子节点
- 删除有两个子节点的节点:
- 找到该节点的前驱和后继(前驱:小于该节点值,且是左子树节点的最大值;后继:大于该节点值,且是右子树节点中的最小值。)
- 用前驱或后继代替根节点。
- 再删除原来的前驱或后继。
- 删除叶节点:


文件类型
- 文件对象
- 注意:当我们创建文件对象时,并不意味着我们创建了新的文件
1 | //创建一个文件对象 |
- 目录对象
- 同理,当我们创建对象时,并没有实际在硬盘中创建目录。
1 | // 创建一个对象 |
Serializable(序列化)
- 序列化是将对象转换为一系列字节的过程,这些字节可以随后存储在文件中。然后我们可以反序列化这些字节,并在程序未来的调用中获取原始对象。
- 使用Serializable接口创建对象(注意:此接口不包含任何方法)
1 | import java.io.Serializable; |
- 使用Utils实现(反)序列化
1 | Model m; |

